Диаграмма компонентов

Диаграмма компонентов: Диаграмма компонентов - это тип структурной диаграммы, используемой в языке UML (Unified Modeling Language) для визуализации организации и взаимосвязей компонентов системы. Эти диаграммы помогают разбить сложную систему на управляемые компоненты, показать их взаимозависимость и обеспечить эффективное проектирование и архитектуру системы.

Преимущества PlantUML:
  • Простота: С помощью PlantUML можно создавать диаграммы компонентов, используя простые и интуитивно понятные текстовые описания, что избавляет от необходимости использовать сложные средства рисования.
  • Интеграция: PlantUML легко интегрируется с различными инструментами и платформами, что делает его универсальным выбором для разработчиков и архитекторов.
  • Совместная работа: Форум PlantUML предоставляет пользователям возможность обсуждать, делиться и обращаться за помощью к своим диаграммам, создавая тем самым сообщество для совместной работы.

Компоненты

Обозначения компонентов должны быть заключены в квадратные скобки.

Также можно использовать ключевое слово component для объявления компонента. Вы можете объявить алиас с помощью ключевого слова as. Этот алиас может быть использован позже, при объявлении связей.

🎉 Copied!

@startuml

[First component]
[Another component] as Comp2
component Comp3
component [Last\ncomponent] as Comp4

@enduml

WARNING
 This translation need to be updated. 
WARNING

Интерфейсы

Для обозначения интерфейса используется символ () (потому что он выглядит как круг).

Также возможно использование ключевого слова interface для объявления интерфейса. Вы можете объявить алиас с помощью ключевого слова as. Этот алиас может быть использован позднее, когда будут задаваться связи.

Далее мы увидим, что задание интерфейсов опционально.

🎉 Copied!

@startuml

() "First Interface"
() "Another interface" as Interf2
interface Interf3
interface "Last\ninterface" as Interf4

@enduml

Простой пример

Отношения между элементами создаются с помощью комбинации точечных линий (..), прямых линий (--) и стрелок (-->).

🎉 Copied!

@startuml

DataAccess - [First Component]
[First Component] ..> HTTP : use

@enduml

Использование заметок

Вы можете использовать ключевые слова note left of , note right of , note top of , note bottom of чтобы задать метки, относящиеся к одному объекту.

Заметка также может быть задана не прикреплённой, используя ключевое слово note, а затем прикреплена к другим объектам, используя символ ...

🎉 Copied!

@startuml

interface "Data Access" as DA

DA - [First Component]
[First Component] ..> HTTP : use

note left of HTTP : Web Service only

note right of [First Component]
  A note can also
  be on several lines
end note

@enduml

WARNING
 This translation need to be updated. 
WARNING

Группирование компонентов

Вы можете использовать несколько ключевых слов package, чтобы группировать компоненты и интерфейсы вместе.
  • package
  • node
  • folder
  • frame
  • cloud
  • database

🎉 Copied!

@startuml

package "Some Group" {
  HTTP - [First Component]
  [Another Component]
}

node "Other Groups" {
  FTP - [Second Component]
  [First Component] --> FTP
}

cloud {
  [Example 1]
}


database "MySql" {
  folder "This is my folder" {
    [Folder 3]
  }
  frame "Foo" {
    [Frame 4]
  }
}


[Another Component] --> [Example 1]
[Example 1] --> [Folder 3]
[Folder 3] --> [Frame 4]

@enduml

Изменение направления стрелок

По умолчанию, связи между классами имею два тире -- и ориентированы вертикально. Можно создавать горизонтальные связи с помощью одного тире (или точки), вот так:

🎉 Copied!

@startuml
[Component] --> Interface1
[Component] -> Interface2
@enduml

Вы также можете изменять направления, перевернув связь:

🎉 Copied!

@startuml
Interface1 <-- [Component]
Interface2 <- [Component]
@enduml

Также, можно изменить направление стрелки добавлением ключевых слов left, right, up или down внутри стрелки:

🎉 Copied!

@startuml
[Component] -left-> left
[Component] -right-> right
[Component] -up-> up
[Component] -down-> down
@enduml

Вы можете сократить запись, используя только первую букву направления (например, -d- вместо -down-) или две первые буквы (-do-).

Пожалуйста, заметьте, что не стоит использовать эту функциональность без особой надобности: Graphviz обычно даёт хорошие результаты без дополнительной настройки.

_See also 'Change diagram orientation' on [Deployment diagram](deployment-diagram) page._

Use UML2 notation

By default (from v1.2020.13-14), UML2 notation is used.

🎉 Copied!

@startuml

interface "Data Access" as DA

DA - [First Component]
[First Component] ..> HTTP : use

@enduml

Использовании нотации UML1

Команда skinparam componentStyle uml1 используется, чтобы переключиться на нотацию UML1.

🎉 Copied!

@startuml
skinparam componentStyle uml1

interface "Data Access" as DA

DA - [First Component]
[First Component] ..> HTTP : use

@enduml

Use rectangle notation (remove UML notation)

The skinparam componentStyle rectangle command is used to switch to rectangle notation (without any UML notation).

🎉 Copied!

@startuml
skinparam componentStyle rectangle

interface "Data Access" as DA

DA - [First Component]
[First Component] ..> HTTP : use

@enduml

Длинное описание

Для помещения многострочного текста в тело компонента используются квадратные скобки

🎉 Copied!

@startuml
component comp1 [
This component
has a long comment
on several lines
]
@enduml

Индивидуальные цвета

Вы можете задать цвет после определения компонента.

🎉 Copied!

@startuml
component  [Web Server] #Yellow
@enduml

Использование Sprite в стереотипах

Можно использовать спрайты внутри компонентов стереотипа.

🎉 Copied!

@startuml
sprite $businessProcess [16x16/16] {
FFFFFFFFFFFFFFFF
FFFFFFFFFFFFFFFF
FFFFFFFFFFFFFFFF
FFFFFFFFFFFFFFFF
FFFFFFFFFF0FFFFF
FFFFFFFFFF00FFFF
FF00000000000FFF
FF000000000000FF
FF00000000000FFF
FFFFFFFFFF00FFFF
FFFFFFFFFF0FFFFF
FFFFFFFFFFFFFFFF
FFFFFFFFFFFFFFFF
FFFFFFFFFFFFFFFF
FFFFFFFFFFFFFFFF
FFFFFFFFFFFFFFFF
}


rectangle " End to End\nbusiness process" <<$businessProcess>> {
 rectangle "inner process 1" <<$businessProcess>> as src
 rectangle "inner process 2" <<$businessProcess>> as tgt
 src -> tgt
}
@enduml

Skinparam

Вы можете использовать команду skinparam для изменения шрифтов и цветов диаграммы

Вы можете использовать данную команду :

Вы можете задать цвет и шрифт для компонентов и интерфейсов с заданными шаблонами.

🎉 Copied!

@startuml

skinparam interface {
  backgroundColor RosyBrown
  borderColor orange
}

skinparam component {
  FontSize 13
  BackgroundColor<<Apache>> Pink
  BorderColor<<Apache>> #FF6655
  FontName Courier
  BorderColor black
  BackgroundColor gold
  ArrowFontName Impact
  ArrowColor #FF6655
  ArrowFontColor #777777
}

() "Data Access" as DA
Component "Web Server" as WS << Apache >>

DA - [First Component]
[First Component] ..> () HTTP : use
HTTP - WS

@enduml

🎉 Copied!

@startuml

skinparam component {
    backgroundColor<<static_lib>> DarkKhaki
    backgroundColor<<shared_lib>> Green
}

skinparam node {
borderColor Green
backgroundColor Yellow
backgroundColor<<shared_node>> Magenta
}
skinparam databaseBackgroundColor Aqua

[AA] <<static_lib>>
[BB] <<shared_lib>>
[CC] <<static_lib>>

node node1
node node2 <<shared node>>
database Production

@enduml

WARNING
 This translation need to be updated. 
WARNING

Specific SkinParameter

componentStyle

  • By default (or with skinparam componentStyle uml2), you have an icon for component

🎉 Copied!

@startuml
skinparam BackgroundColor transparent
skinparam componentStyle uml2
component A {
   component "A.1" {
}
   component A.44 {
      [A4.1]
}
   component "A.2"
   [A.3]
   component A.5 [
A.5] 
   component A.6 [
]
}
[a]->[b]
@enduml

  • If you want to suppress it, and to have only the rectangle, you can use skinparam componentStyle rectangle

🎉 Copied!

@startuml
skinparam BackgroundColor transparent
skinparam componentStyle rectangle
component A {
   component "A.1" {
}
   component A.44 {
      [A4.1]
}
   component "A.2"
   [A.3]
   component A.5 [
A.5] 
   component A.6 [
]
}
[a]->[b]
@enduml

[Ref. 10798]

Hide or Remove unlinked component

By default, all components are displayed:

🎉 Copied!

@startuml
component C1
component C2
component C3
C1 -- C2
@enduml

But you can:
  • hide @unlinked components:

🎉 Copied!

@startuml
component C1
component C2
component C3
C1 -- C2

hide @unlinked
@enduml

  • or remove @unlinked components:

🎉 Copied!

@startuml
component C1
component C2
component C3
C1 -- C2

remove @unlinked
@enduml

[Ref. QA-11052]

Hide, Remove or Restore tagged component or wildcard

You can put $tags (using $) on components, then remove, hide or restore components either individually or by tags.

By default, all components are displayed:

🎉 Copied!

@startuml
component C1 $tag13
component C2
component C3 $tag13
C1 -- C2
@enduml

But you can:
  • hide $tag13 components:

🎉 Copied!

@startuml
component C1 $tag13
component C2
component C3 $tag13
C1 -- C2

hide $tag13
@enduml

  • or remove $tag13 components:

🎉 Copied!

@startuml
component C1 $tag13
component C2
component C3 $tag13
C1 -- C2

remove $tag13
@enduml

  • or remove $tag13 and restore $tag1 components:

🎉 Copied!

@startuml
component C1 $tag13 $tag1
component C2
component C3 $tag13
C1 -- C2

remove $tag13
restore $tag1
@enduml

  • or remove * and restore $tag1 components:

🎉 Copied!

@startuml
component C1 $tag13 $tag1
component C2
component C3 $tag13
C1 -- C2

remove *
restore $tag1
@enduml

[Ref. QA-7337 and QA-11052]

Display JSON Data on Component diagram

Simple example

🎉 Copied!

@startuml
allowmixing

component Component
()        Interface

json JSON {
   "fruit":"Apple",
   "size":"Large",
   "color": ["Red", "Green"]
}
@enduml

[Ref. QA-15481]

For another example, see on JSON page.

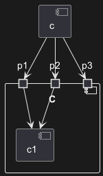
Port [port, portIn, portOut]

You can add port with port, portinand portout keywords.

Port

🎉 Copied!

@startuml
[c]
component C {
  port p1
  port p2
  port p3
  component c1
}

c --> p1
c --> p2
c --> p3
p1 --> c1
p2 --> c1
@enduml

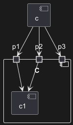
PortIn

🎉 Copied!

@startuml
[c]
component C {
  portin p1
  portin p2
  portin p3
  component c1
}

c --> p1
c --> p2
c --> p3
p1 --> c1
p2 --> c1
@enduml

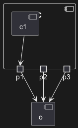
PortOut

🎉 Copied!

@startuml
component C {
  portout p1
  portout p2
  portout p3
  component c1
}
[o]
p1 --> o
p2 --> o
p3 --> o
c1 --> p1
@enduml

Mixing PortIn & PortOut

🎉 Copied!

@startuml
[i]
component C {
  portin p1
  portin p2
  portin p3
  portout po1
  portout po2
  portout po3
  component c1
}
[o]

i --> p1
i --> p2
i --> p3
p1 --> c1
p2 --> c1
po1 --> o
po2 --> o
po3 --> o
c1 --> po1
@enduml


Privacy Policy      Advertise