Component Diagram

Component Diagram: A component diagram is a type of structural diagram used in UML (Unified Modeling Language) to visualize the organization and relationships of system components. These diagrams help in breaking down complex systems into manageable components, showcasing their interdependencies, and ensuring efficient system design and architecture.

Advantages of PlantUML:
  • Simplicity: With PlantUML, you can create component diagrams using simple and intuitive text-based descriptions, eliminating the need for complex drawing tools.
  • Integration: PlantUML seamlessly integrates with various tools and platforms, making it a versatile choice for developers and architects.
  • Collaboration: The PlantUML forum offers a platform for users to discuss, share, and seek assistance on their diagrams, fostering a collaborative community.

컴포넌트

컴포넌트는 반드시 대괄호 [] 로 둘러싸여야 한다.

컨퍼넌트를 정의할때 component 키워드도 사용할 수 있다. as 키워드를 이용해서 별명을 정의할 수도 있다. 이 별명은 뒤에서 관계를 정의할때 사용된다.

🎉 Copied!

@startuml

[First component]
[Another component] as Comp2
component Comp3
component [Last\ncomponent] as Comp4

@enduml

WARNING
 This translation need to be updated. 
WARNING

인터페이스

인터페이스는 () 기호로 정의될 수 있다(이 기호가 원처럼 보이기 때문이다).

interface 키워드도 인터페이스를 정의하는데 사용할 수 있다. as 키워드를 이용해서 별명을 정의할 수도 있다. 이 별명은 뒤에서 관계를 정의할때 사용된다.

인터페이스를 정의하는 일은 선택(optional)이라는 것을 뒤에서 확인할 것이다.

🎉 Copied!

@startuml

() "First Interface"
() "Another interface" as Interf2
interface Interf3
interface "Last\ninterface" as Interf4

@enduml

기본 예제

요소들간의 연결은 점선 (..), 실선 (--), 그리고 화살표 (-->) 기호들의 조합으로 생성된다.

🎉 Copied!

@startuml

DataAccess - [First Component]
[First Component] ..> HTTP : use

@enduml

메모 사용하기

각 오브젝트에 관련된 메모를 정의하기 위해 note left of , note right of , note top of , note bottom of 키워드들을 사용할 수 있다.

메모는 또한 note 키워드를 통해 단독으로 정의될 수도 있고, 다른 오브젝트들에 .. 기호로 연결된다.

🎉 Copied!

@startuml

interface "Data Access" as DA

DA - [First Component]
[First Component] ..> HTTP : use

note left of HTTP : Web Service only

note right of [First Component]
  A note can also
  be on several lines
end note

@enduml

WARNING
 This translation need to be updated. 
WARNING

컴포넌트를 그룹으로 나누기

컴포넌트들과 인터페이스들을 그룹으로 나누기 위해 여러가지 키워드를 사용할 수 있다:
  • package
  • node
  • folder
  • frame
  • cloud
  • database

🎉 Copied!

@startuml

package "Some Group" {
  HTTP - [First Component]
  [Another Component]
}

node "Other Groups" {
  FTP - [Second Component]
  [First Component] --> FTP
}

cloud {
  [Example 1]
}


database "MySql" {
  folder "This is my folder" {
    [Folder 3]
  }
  frame "Foo" {
    [Frame 4]
  }
}


[Another Component] --> [Example 1]
[Example 1] --> [Folder 3]
[Folder 3] --> [Frame 4]

@enduml

화살표 방향 바꾸기

기본적으로 클래스들간의 연결은 두개의 대시를 -- 갖고 방향은 수직 방향이다. 다음처럼 한개의 대시(혹은 점)를 넣어 수평 방향 연결을 사용할 수 있다:

🎉 Copied!

@startuml
[Component] --> Interface1
[Component] -> Interface2
@enduml

연결을 반전시켜 방향을 바꿀 수도 있다:

🎉 Copied!

@startuml
Interface1 <-- [Component]
Interface2 <- [Component]
@enduml

화살표 안에 left, right, up, down 키워드를 추가하여 방향을 바꾸는것도 가능하다:

🎉 Copied!

@startuml
[Component] -left-> left
[Component] -right-> right
[Component] -up-> up
[Component] -down-> down
@enduml

방향을 의미하는 단어의 첫번째 글자만 사용해서 화살표를 짧게 할 수 있다. (예를 들면, -down- 대신 -d-) 또는 두 글자를 사용해도 된다. (-do-).

이 기능을 남용하지 말아야 한다는 것을 명심하자 : 그래야 별다른 수정없이도 GraphViz가 좋은 결과를 보여준다.

_See also 'Change diagram orientation' on [Deployment diagram](deployment-diagram) page._

Use UML2 notation

By default (from v1.2020.13-14), UML2 notation is used.

🎉 Copied!

@startuml

interface "Data Access" as DA

DA - [First Component]
[First Component] ..> HTTP : use

@enduml

Use UML1 notation

The skinparam componentStyle uml1 command is used to switch to UML1 notation.

🎉 Copied!

@startuml
skinparam componentStyle uml1

interface "Data Access" as DA

DA - [First Component]
[First Component] ..> HTTP : use

@enduml

Use rectangle notation (remove UML notation)

The skinparam componentStyle rectangle command is used to switch to rectangle notation (without any UML notation).

🎉 Copied!

@startuml
skinparam componentStyle rectangle

interface "Data Access" as DA

DA - [First Component]
[First Component] ..> HTTP : use

@enduml

Long description

It is possible to put description on several lines using square brackets.

🎉 Copied!

@startuml
component comp1 [
This component
has a long comment
on several lines
]
@enduml

Individual colors

You can specify a color after component definition.

🎉 Copied!

@startuml
component  [Web Server] #Yellow
@enduml

Using Sprite in Stereotype

You can use sprites within stereotype components.

🎉 Copied!

@startuml
sprite $businessProcess [16x16/16] {
FFFFFFFFFFFFFFFF
FFFFFFFFFFFFFFFF
FFFFFFFFFFFFFFFF
FFFFFFFFFFFFFFFF
FFFFFFFFFF0FFFFF
FFFFFFFFFF00FFFF
FF00000000000FFF
FF000000000000FF
FF00000000000FFF
FFFFFFFFFF00FFFF
FFFFFFFFFF0FFFFF
FFFFFFFFFFFFFFFF
FFFFFFFFFFFFFFFF
FFFFFFFFFFFFFFFF
FFFFFFFFFFFFFFFF
FFFFFFFFFFFFFFFF
}


rectangle " End to End\nbusiness process" <<$businessProcess>> {
 rectangle "inner process 1" <<$businessProcess>> as src
 rectangle "inner process 2" <<$businessProcess>> as tgt
 src -> tgt
}
@enduml

Skinparam

You can use the skinparam command to change colors and fonts for the drawing.

You can use this command :

You can define specific color and fonts for stereotyped components and interfaces.

🎉 Copied!

@startuml

skinparam interface {
  backgroundColor RosyBrown
  borderColor orange
}

skinparam component {
  FontSize 13
  BackgroundColor<<Apache>> Pink
  BorderColor<<Apache>> #FF6655
  FontName Courier
  BorderColor black
  BackgroundColor gold
  ArrowFontName Impact
  ArrowColor #FF6655
  ArrowFontColor #777777
}

() "Data Access" as DA
Component "Web Server" as WS << Apache >>

DA - [First Component]
[First Component] ..> () HTTP : use
HTTP - WS

@enduml

🎉 Copied!

@startuml

skinparam component {
  backgroundColor<<static lib>> DarkKhaki
  backgroundColor<<shared lib>> Green
}

skinparam node {
  borderColor Green
  backgroundColor Yellow
  backgroundColor<<shared_node>> Magenta
}
skinparam databaseBackgroundColor Aqua

[AA] <<static lib>>
[BB] <<shared lib>>
[CC] <<static lib>>

node node1
node node2 <<shared_node>>
database Production

@enduml

Specific SkinParameter

componentStyle

  • By default (or with skinparam componentStyle uml2), you have an icon for component

🎉 Copied!

@startuml
skinparam BackgroundColor transparent
skinparam componentStyle uml2
component A {
   component "A.1" {
}
   component A.44 {
      [A4.1]
}
   component "A.2"
   [A.3]
   component A.5 [
A.5] 
   component A.6 [
]
}
[a]->[b]
@enduml

  • If you want to suppress it, and to have only the rectangle, you can use skinparam componentStyle rectangle

🎉 Copied!

@startuml
skinparam BackgroundColor transparent
skinparam componentStyle rectangle
component A {
   component "A.1" {
}
   component A.44 {
      [A4.1]
}
   component "A.2"
   [A.3]
   component A.5 [
A.5] 
   component A.6 [
]
}
[a]->[b]
@enduml

[Ref. 10798]

Hide or Remove unlinked component

By default, all components are displayed:

🎉 Copied!

@startuml
component C1
component C2
component C3
C1 -- C2
@enduml

But you can:
  • hide @unlinked components:

🎉 Copied!

@startuml
component C1
component C2
component C3
C1 -- C2

hide @unlinked
@enduml

  • or remove @unlinked components:

🎉 Copied!

@startuml
component C1
component C2
component C3
C1 -- C2

remove @unlinked
@enduml

[Ref. QA-11052]

Hide, Remove or Restore tagged component or wildcard

You can put $tags (using $) on components, then remove, hide or restore components either individually or by tags.

By default, all components are displayed:

🎉 Copied!

@startuml
component C1 $tag13
component C2
component C3 $tag13
C1 -- C2
@enduml

But you can:
  • hide $tag13 components:

🎉 Copied!

@startuml
component C1 $tag13
component C2
component C3 $tag13
C1 -- C2

hide $tag13
@enduml

  • or remove $tag13 components:

🎉 Copied!

@startuml
component C1 $tag13
component C2
component C3 $tag13
C1 -- C2

remove $tag13
@enduml

  • or remove $tag13 and restore $tag1 components:

🎉 Copied!

@startuml
component C1 $tag13 $tag1
component C2
component C3 $tag13
C1 -- C2

remove $tag13
restore $tag1
@enduml

  • or remove * and restore $tag1 components:

🎉 Copied!

@startuml
component C1 $tag13 $tag1
component C2
component C3 $tag13
C1 -- C2

remove *
restore $tag1
@enduml

[Ref. QA-7337 and QA-11052]

Display JSON Data on Component diagram

Simple example

🎉 Copied!

@startuml
allowmixing

component Component
()        Interface

json JSON {
   "fruit":"Apple",
   "size":"Large",
   "color": ["Red", "Green"]
}
@enduml

[Ref. QA-15481]

For another example, see on JSON page.

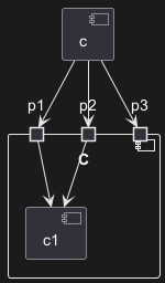
Port [port, portIn, portOut]

You can add port with port, portinand portout keywords.

Port

🎉 Copied!

@startuml
[c]
component C {
  port p1
  port p2
  port p3
  component c1
}

c --> p1
c --> p2
c --> p3
p1 --> c1
p2 --> c1
@enduml

PortIn

🎉 Copied!

@startuml
[c]
component C {
  portin p1
  portin p2
  portin p3
  component c1
}

c --> p1
c --> p2
c --> p3
p1 --> c1
p2 --> c1
@enduml

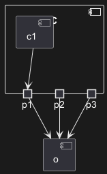
PortOut

🎉 Copied!

@startuml
component C {
  portout p1
  portout p2
  portout p3
  component c1
}
[o]
p1 --> o
p2 --> o
p3 --> o
c1 --> p1
@enduml

Mixing PortIn & PortOut

🎉 Copied!

@startuml
[i]
component C {
  portin p1
  portin p2
  portin p3
  portout po1
  portout po2
  portout po3
  component c1
}
[o]

i --> p1
i --> p2
i --> p3
p1 --> c1
p2 --> c1
po1 --> o
po2 --> o
po3 --> o
c1 --> po1
@enduml


Privacy Policy      Advertise