Diagrama de componentes

Diagrama de componentes: Un diagrama de componentes es un tipo de diagrama estructural utilizado en UML (Lenguaje Unificado de Modelado) para visualizar la organización y las relaciones de los componentes del sistema. Estos diagramas ayudan a descomponer sistemas complejos en componentes manejables, mostrando sus interdependencias y asegurando un diseño y arquitectura de sistemas eficientes.

Ventajas de PlantUML:
  • Simplicidad: Con PlantUML, puede crear diagramas de componentes utilizando descripciones simples e intuitivas basadas en texto, eliminando la necesidad de complejas herramientas de dibujo.
  • Integración: PlantUML se integra perfectamente con diversas herramientas y plataformas, lo que lo convierte en una opción versátil para desarrolladores y arquitectos.
  • Colaboración: El foro Plant UML ofrece una plataforma para que los usuarios discutan, compartan y busquen ayuda sobre sus diagramas, fomentando una comunidad de colaboración.

Componentes

Los componentes deberían ser encerrados entre corchetes [].

También puedes usar la palabra reservada component para definir un componente. Y puedes definir un alias, usando la palabra reservada as. Este alias será usado más adelante, cuando definamos relaciones.

🎉 Copied!

@startuml

[First component]
[Another component] as Comp2
component Comp3
component [Last\ncomponent] as Comp4

@enduml

WARNING
 This translation need to be updated. 
WARNING

Interfaces

Puedes definir una interfaz usando el símbolo () (porque esto luce como un circulo).

Puedes usar también la palabra reservada interface para definir una interfaz. Y puedes definir un alias, usando la palabra reservada as. Este alias sera usado luego, definiendo las relaciones.

Nosotros veremos mas adelante que la definición de interfaz es opcional.

🎉 Copied!

@startuml

() "First Interface"
() "Another interface" as Interf2
interface Interf3
interface "Last\ninterface" as Interf4

@enduml

Ejemplo básico

Los enlaces entre elementos se realizan mediante combinaciones de símbolos de línea de puntos (..), línea recta (--) y flechas (-->) .

🎉 Copied!

@startuml

DataAccess - [First Component]
[First Component] ..> HTTP : use

@enduml

Usando notas

Puedes usar el note left of , note right of , note top of , note bottom of Las palabras reservadas para definir notas relacionadas a un objeto simple.

Una nota puede ser definida sola usando la plabra reservada note, luego linkea a otro objeto usando el símbolo ...

🎉 Copied!

@startuml

interface "Data Access" as DA

DA - [First Component]
[First Component] ..> HTTP : use

note left of HTTP : Web Service only

note right of [First Component]
  A note can also
  be on several lines
end note

@enduml

WARNING
 This translation need to be updated. 
WARNING

Agrupando componentes

Puedes usar varias palabras reservadas para agrupar componentes e interfaces juntos:
  • package
  • node
  • folder
  • frame
  • cloud
  • database

🎉 Copied!

@startuml

package "Some Group" {
  HTTP - [First Component]
  [Another Component]
}

node "Other Groups" {
  FTP - [Second Component]
  [First Component] --> FTP
}

cloud {
  [Example 1]
}


database "MySql" {
  folder "This is my folder" {
    [Folder 3]
  }
  frame "Foo" {
    [Frame 4]
  }
}


[Another Component] --> [Example 1]
[Example 1] --> [Folder 3]
[Folder 3] --> [Frame 4]

@enduml

Cambiando la dirección de las flechas

Por defecto los links entre clases tienen dos guiones --y son orientados verticalmente. Puedes usar la orientacion horizontal para un link poniendo un guion (o punto) como en el siguiente ejemplo:

🎉 Copied!

@startuml
[Component] --> Interface1
[Component] -> Interface2
@enduml

Puedes también cambiar direcciones invirtiendo el link:

🎉 Copied!

@startuml
Interface1 <-- [Component]
Interface2 <- [Component]
@enduml

También es posible cambiar la dirección de las flechas agregando la palabra reservada left, right, up o down dentro de la flecha:

🎉 Copied!

@startuml
[Component] -left-> left
[Component] -right-> right
[Component] -up-> up
[Component] -down-> down
@enduml

Puedes acortar la flecha usando el primer caracter (por ejemplo, -d- en lugar de -down-) o los dos primeros caracteres (-do-).

Por favor nota que no puedes abuzar de esta funcionalidad Graphviz que usualmente otorga buenos resultados sin ajustes.

_See also 'Change diagram orientation' on [Deployment diagram](deployment-diagram) page._

Use UML2 notation

By default (from v1.2020.13-14), UML2 notation is used.

🎉 Copied!

@startuml

interface "Data Access" as DA

DA - [First Component]
[First Component] ..> HTTP : use

@enduml

Utiliza la notación UML1

El comando skinparam componentStyle uml1 es usado para cambiar hacia la notación UML1.

🎉 Copied!

@startuml
skinparam componentStyle uml1

interface "Data Access" as DA

DA - [First Component]
[First Component] ..> HTTP : use

@enduml

Use rectangle notation (remove UML notation)

The skinparam componentStyle rectangle command is used to switch to rectangle notation (without any UML notation).

🎉 Copied!

@startuml
skinparam componentStyle rectangle

interface "Data Access" as DA

DA - [First Component]
[First Component] ..> HTTP : use

@enduml

Long description

It is possible to put description on several lines using square brackets.

🎉 Copied!

@startuml
component comp1 [
This component
has a long comment
on several lines
]
@enduml

Colores individuales

Puedes especificar un color despues de la definición del componente.

🎉 Copied!

@startuml
component  [Web Server] #Yellow
@enduml

Using Sprite in Stereotype

You can use sprites within stereotype components.

🎉 Copied!

@startuml
sprite $businessProcess [16x16/16] {
FFFFFFFFFFFFFFFF
FFFFFFFFFFFFFFFF
FFFFFFFFFFFFFFFF
FFFFFFFFFFFFFFFF
FFFFFFFFFF0FFFFF
FFFFFFFFFF00FFFF
FF00000000000FFF
FF000000000000FF
FF00000000000FFF
FFFFFFFFFF00FFFF
FFFFFFFFFF0FFFFF
FFFFFFFFFFFFFFFF
FFFFFFFFFFFFFFFF
FFFFFFFFFFFFFFFF
FFFFFFFFFFFFFFFF
FFFFFFFFFFFFFFFF
}


rectangle " End to End\nbusiness process" <<$businessProcess>> {
 rectangle "inner process 1" <<$businessProcess>> as src
 rectangle "inner process 2" <<$businessProcess>> as tgt
 src -> tgt
}
@enduml

Personalización (Skinparam)

Puedes usar el comando skinparam para cambiar los colores y las fuentes de los dibujos

Puedes usar este comando:

Puedes definir colores y fuentes específicas para interfaces y componentes estereotipados.

🎉 Copied!

@startuml

skinparam interface {
  backgroundColor RosyBrown
  borderColor orange
}

skinparam component {
  FontSize 13
  BackgroundColor<<Apache>> Pink
  BorderColor<<Apache>> #FF6655
  FontName Courier
  BorderColor black
  BackgroundColor gold
  ArrowFontName Impact
  ArrowColor #FF6655
  ArrowFontColor #777777
}

() "Data Access" as DA
Component "Web Server" as WS << Apache >>

DA - [First Component]
[First Component] ..> () HTTP : use
HTTP - WS

@enduml

🎉 Copied!

@startuml

skinparam component {
    backgroundColor<<static_lib>> DarkKhaki
    backgroundColor<<shared_lib>> Green
}

skinparam node {
borderColor Green
backgroundColor Yellow
backgroundColor<<shared_node>> Magenta
}
skinparam databaseBackgroundColor Aqua

[AA] <<static_lib>>
[BB] <<shared_lib>>
[CC] <<static_lib>>

node node1
node node2 <<shared node>>
database Production

@enduml

WARNING
 This translation need to be updated. 
WARNING

Specific SkinParameter

componentStyle

  • By default (or with skinparam componentStyle uml2), you have an icon for component

🎉 Copied!

@startuml
skinparam BackgroundColor transparent
skinparam componentStyle uml2
component A {
   component "A.1" {
}
   component A.44 {
      [A4.1]
}
   component "A.2"
   [A.3]
   component A.5 [
A.5] 
   component A.6 [
]
}
[a]->[b]
@enduml

  • If you want to suppress it, and to have only the rectangle, you can use skinparam componentStyle rectangle

🎉 Copied!

@startuml
skinparam BackgroundColor transparent
skinparam componentStyle rectangle
component A {
   component "A.1" {
}
   component A.44 {
      [A4.1]
}
   component "A.2"
   [A.3]
   component A.5 [
A.5] 
   component A.6 [
]
}
[a]->[b]
@enduml

[Ref. 10798]

Hide or Remove unlinked component

By default, all components are displayed:

🎉 Copied!

@startuml
component C1
component C2
component C3
C1 -- C2
@enduml

But you can:
  • hide @unlinked components:

🎉 Copied!

@startuml
component C1
component C2
component C3
C1 -- C2

hide @unlinked
@enduml

  • or remove @unlinked components:

🎉 Copied!

@startuml
component C1
component C2
component C3
C1 -- C2

remove @unlinked
@enduml

[Ref. QA-11052]

Hide, Remove or Restore tagged component or wildcard

You can put $tags (using $) on components, then remove, hide or restore components either individually or by tags.

By default, all components are displayed:

🎉 Copied!

@startuml
component C1 $tag13
component C2
component C3 $tag13
C1 -- C2
@enduml

But you can:
  • hide $tag13 components:

🎉 Copied!

@startuml
component C1 $tag13
component C2
component C3 $tag13
C1 -- C2

hide $tag13
@enduml

  • or remove $tag13 components:

🎉 Copied!

@startuml
component C1 $tag13
component C2
component C3 $tag13
C1 -- C2

remove $tag13
@enduml

  • or remove $tag13 and restore $tag1 components:

🎉 Copied!

@startuml
component C1 $tag13 $tag1
component C2
component C3 $tag13
C1 -- C2

remove $tag13
restore $tag1
@enduml

  • or remove * and restore $tag1 components:

🎉 Copied!

@startuml
component C1 $tag13 $tag1
component C2
component C3 $tag13
C1 -- C2

remove *
restore $tag1
@enduml

[Ref. QA-7337 and QA-11052]

Display JSON Data on Component diagram

Simple example

🎉 Copied!

@startuml
allowmixing

component Component
()        Interface

json JSON {
   "fruit":"Apple",
   "size":"Large",
   "color": ["Red", "Green"]
}
@enduml

[Ref. QA-15481]

For another example, see on JSON page.

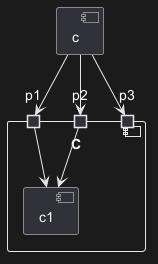
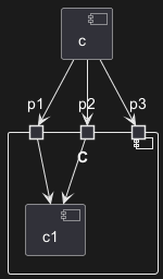
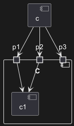
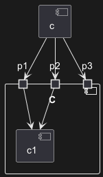
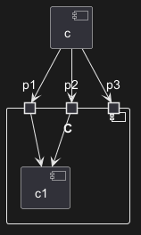
Port [port, portIn, portOut]

You can add port with port, portinand portout keywords.

Port

🎉 Copied!

@startuml
[c]
component C {
  port p1
  port p2
  port p3
  component c1
}

c --> p1
c --> p2
c --> p3
p1 --> c1
p2 --> c1
@enduml

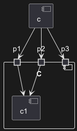
PortIn

🎉 Copied!

@startuml
[c]
component C {
  portin p1
  portin p2
  portin p3
  component c1
}

c --> p1
c --> p2
c --> p3
p1 --> c1
p2 --> c1
@enduml

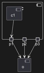
PortOut

🎉 Copied!

@startuml
component C {
  portout p1
  portout p2
  portout p3
  component c1
}
[o]
p1 --> o
p2 --> o
p3 --> o
c1 --> p1
@enduml

Mixing PortIn & PortOut

🎉 Copied!

@startuml
[i]
component C {
  portin p1
  portin p2
  portin p3
  portout po1
  portout po2
  portout po3
  component c1
}
[o]

i --> p1
i --> p2
i --> p3
p1 --> c1
p2 --> c1
po1 --> o
po2 --> o
po3 --> o
c1 --> po1
@enduml


Privacy Policy      Advertise