组件图

组件图:组件图是 UML(统一建模语言)中的一种结构图,用于可视化系统组件的组织和关系。这些图有助于将复杂的系统分解成易于管理的组件,展示它们之间的相互依存关系,确保高效的系统设计和架构。

PlantUML 的优势
  • 简单:使用 PlantUML,您可以使用简单直观的文本描述来创建组件图,无需使用复杂的绘图工具。
  • 集成:PlantUML 可* 与各种工具和平台无缝集成,是开发人员和建筑师的多功能选择。
  • 协作PlantUML 论坛为用户提供了一个讨论、分享和寻求图表帮助的平台,从而培养了一个协作社区。

组件

组件必须用中括号括起来。

还可以使用关键字component定义一个组件。 并且可以用关键字as给组件定义一个别名。 这个别名可以在稍后定义关系的时候使用。

🎉 Copied!

@startuml

[First component]
[Another component] as Comp2
component Comp3
component [Last\ncomponent] as Comp4

@enduml

命名例外

注意,以$ 开头的组件名以后不能隐藏或删除,因为hideremove 命令会将该名称视为$tag ,而不是组件名。要删除此类组件,必须为其添加别名或标记。

🎉 Copied!

@startuml
component [$C1]
component [$C2] $C2
component [$C2] as dollarC2
remove $C1
remove $C2
remove dollarC2
@enduml

接口

接口可以使用()来定义(因为这个看起来像个圆)。

还可以使用关键字interface关键字来定义接口。 并且还可以使用关键字as定义一个别名。 这个别名可以在稍后定义关系的时候使用。

我们稍后可以看到,接口的定义是可选的。

🎉 Copied!

@startuml

() "First Interface"
() "Another interface" as Interf2
interface Interf3
interface "Last\ninterface" as Interf4

@enduml

基础示例

各元素之间可以使用虚线(..)、直线(--)、箭头(-->)的组合进行连接。

🎉 Copied!

@startuml

DataAccess - [First Component]
[First Component] ..> HTTP : use

@enduml

使用注释

你可以使用 note left of , note right of , note top of , note bottom of 等关键字定义相对于对象位置的注释。

也可以使用关键字note单独定义注释,然后使用虚线(..)将其连接到其他对象。

🎉 Copied!

@startuml

interface "Data Access" as DA

DA - [First Component]
[First Component] ..> HTTP : use

note left of HTTP : Web Service only

note right of [First Component]
  A note can also
  be on several lines
end note

@enduml

WARNING
 This translation need to be updated. 
WARNING

组合组件

你可以使用多个关键字将组件和接口组合在一起。
  • package
  • node
  • folder
  • frame
  • cloud
  • database

🎉 Copied!

@startuml

package "Some Group" {
  HTTP - [First Component]
  [Another Component]
}

node "Other Groups" {
  FTP - [Second Component]
  [First Component] --> FTP
}

cloud {
  [Example 1]
}


database "MySql" {
  folder "This is my folder" {
    [Folder 3]
  }
  frame "Foo" {
    [Frame 4]
  }
}


[Another Component] --> [Example 1]
[Example 1] --> [Folder 3]
[Folder 3] --> [Frame 4]

@enduml

改变箭头方向

默认情况下,对象之间用--连接,并且连接是竖直的。不过可以使用一个横线或者点设置水平方向的连接,就行这样:

🎉 Copied!

@startuml
[Component] --> Interface1
[Component] -> Interface2
@enduml

也可以使用反向连接:

🎉 Copied!

@startuml
Interface1 <-- [Component]
Interface2 <- [Component]
@enduml

还可以使用关键字left, right, up or down改变箭头方向。

🎉 Copied!

@startuml
[Component] -left-> left
[Component] -right-> right
[Component] -up-> up
[Component] -down-> down
@enduml

允许使用方向单词的首字母或者前两个字母表示方向(例如-d-, -do-, -down-都是等价的)。

请不要乱用这些功能:Graphviz(PlantUML的后端引擎)不喜欢这个样子。

_See also 'Change diagram orientation' on [Deployment diagram](deployment-diagram) page._

使用 UML2 标记

By default (from v1.2020.13-14), UML2 notation is used.

🎉 Copied!

@startuml

interface "Data Access" as DA

DA - [First Component]
[First Component] ..> HTTP : use

@enduml

使用UML1标记符

命令skinparam componentStyle uml1 可以切换到UML1标记符。

🎉 Copied!

@startuml
skinparam componentStyle uml1

interface "Data Access" as DA

DA - [First Component]
[First Component] ..> HTTP : use

@enduml

使用矩形符号(去除 UML 符号)

skinparam componentStyle rectangle 命令用来切换到矩形符号 (没有任何 UML 符号).

🎉 Copied!

@startuml
skinparam componentStyle rectangle

interface "Data Access" as DA

DA - [First Component]
[First Component] ..> HTTP : use

@enduml

长描述

可以用方括号"[ ]"在多行添加描述。

🎉 Copied!

@startuml
component comp1 [
This component
has a long comment
on several lines
]
@enduml

不同的颜色表示

你可以在声明一个组件的后面加上颜色的声明。

🎉 Copied!

@startuml
component  [Web Server] #Yellow
@enduml

在定型组件中使用精灵图

你可以在定型组件中使用精灵图(sprite)。

🎉 Copied!

@startuml
sprite $businessProcess [16x16/16] {
FFFFFFFFFFFFFFFF
FFFFFFFFFFFFFFFF
FFFFFFFFFFFFFFFF
FFFFFFFFFFFFFFFF
FFFFFFFFFF0FFFFF
FFFFFFFFFF00FFFF
FF00000000000FFF
FF000000000000FF
FF00000000000FFF
FFFFFFFFFF00FFFF
FFFFFFFFFF0FFFFF
FFFFFFFFFFFFFFFF
FFFFFFFFFFFFFFFF
FFFFFFFFFFFFFFFF
FFFFFFFFFFFFFFFF
FFFFFFFFFFFFFFFF
}


rectangle " End to End\nbusiness process" <<$businessProcess>> {
 rectangle "inner process 1" <<$businessProcess>> as src
 rectangle "inner process 2" <<$businessProcess>> as tgt
 src -> tgt
}
@enduml

显示参数

你可以使用skinparam命令来改变绘图的字体和颜色。

你可以在下列场景中使用该命令:

你可以为构造型组件和接口定义特定的颜色和字体。

🎉 Copied!

@startuml

skinparam interface {
  backgroundColor RosyBrown
  borderColor orange
}

skinparam component {
  FontSize 13
  BackgroundColor<<Apache>> Pink
  BorderColor<<Apache>> #FF6655
  FontName Courier
  BorderColor black
  BackgroundColor gold
  ArrowFontName Impact
  ArrowColor #FF6655
  ArrowFontColor #777777
}

() "Data Access" as DA
Component "Web Server" as WS << Apache >>

DA - [First Component]
[First Component] ..> () HTTP : use
HTTP - WS

@enduml

🎉 Copied!

@startuml

skinparam component {
    backgroundColor<<static_lib>> DarkKhaki
    backgroundColor<<shared_lib>> Green
}

skinparam node {
borderColor Green
backgroundColor Yellow
backgroundColor<<shared_node>> Magenta
}
skinparam databaseBackgroundColor Aqua

[AA] <<static_lib>>
[BB] <<shared_lib>>
[CC] <<static_lib>>

node node1
node node2 <<shared node>>
database Production

@enduml

特定皮肤参数

组件样式

  • 默认情况下(或使用skinparam componentStyle uml2 ),组件有一个图标。

🎉 Copied!

@startuml
skinparam BackgroundColor transparent
skinparam componentStyle uml2
component A {
   component "A.1" {
}
   component A.44 {
      [A4.1]
}
   component "A.2"
   [A.3]
   component A.5 [
A.5] 
   component A.6 [
]
}
[a]->[b]
@enduml

  • 如果您想取消它,只使用矩形图标,可以使用skinparam componentStyle rectangle

🎉 Copied!

@startuml
skinparam BackgroundColor transparent
skinparam componentStyle rectangle
component A {
   component "A.1" {
}
   component A.44 {
      [A4.1]
}
   component "A.2"
   [A.3]
   component A.5 [
A.5] 
   component A.6 [
]
}
[a]->[b]
@enduml

[参考文献10798]

隐藏或删除未链接的组件

默认情况下,所有的组件都显示出来:

🎉 Copied!

@startuml
component C1
component C2
component C3
C1 -- C2
@enduml

但你可以:
  • hide @unlinked 组件:

🎉 Copied!

@startuml
component C1
component C2
component C3
C1 -- C2

hide @unlinked
@enduml

  • remove @unlinked 组件:

🎉 Copied!

@startuml
component C1
component C2
component C3
C1 -- C2

remove @unlinked
@enduml

[参考QA-11052]

隐藏、删除或恢复被标记的组件或通配符

你可以在组件中添加 $tags (使用 $ 符号) , 然后单独或者按照标记删除、隐藏或者还原组件.

默认情况下,所有的组件都会显示:

🎉 Copied!

@startuml
component C1 $tag13
component C2
component C3 $tag13
C1 -- C2
@enduml

但是你可以:
  • hide $tag13 以隐藏组件组件:

🎉 Copied!

@startuml
component C1 $tag13
component C2
component C3 $tag13
C1 -- C2

hide $tag13
@enduml

  • 或者 remove $tag13 以移除组件:

🎉 Copied!

@startuml
component C1 $tag13
component C2
component C3 $tag13
C1 -- C2

remove $tag13
@enduml

  • 或者 remove $tag13 and restore $tag1 以移除一个标记下的组件并还原另一个标记下的组件:

🎉 Copied!

@startuml
component C1 $tag13 $tag1
component C2
component C3 $tag13
C1 -- C2

remove $tag13
restore $tag1
@enduml

  • 或者 remove * and restore $tag1 以移除全部组件并且还原一个被标记的组件:

🎉 Copied!

@startuml
component C1 $tag13 $tag1
component C2
component C3 $tag13
C1 -- C2

remove *
restore $tag1
@enduml

[Ref. QA-7337 and QA-11052]

在组件图上显示JSON数据

简单的例子

🎉 Copied!

@startuml
allowmixing

component Component
()        Interface

json JSON {
   "fruit":"Apple",
   "size":"Large",
   "color": ["Red", "Green"]
}
@enduml

[Ref.QA-15481]

关于另一个例子,请看[JSON页面](json#2fyxla9p9ob6l3t3tjre)。

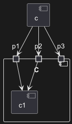
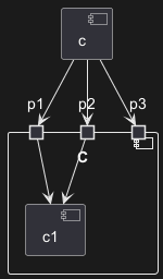
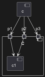
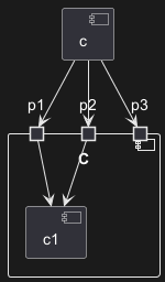
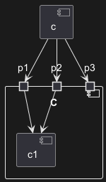
端口 [port, portIn, portOut]

您可以用port,portinportout 关键词添加端口

端口

🎉 Copied!

@startuml
[c]
component C {
  port p1
  port p2
  port p3
  component c1
}

c --> p1
c --> p2
c --> p3
p1 --> c1
p2 --> c1
@enduml

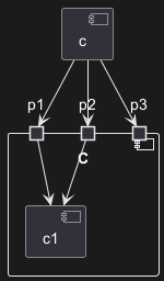
端口输入

🎉 Copied!

@startuml
[c]
component C {
  portin p1
  portin p2
  portin p3
  component c1
}

c --> p1
c --> p2
c --> p3
p1 --> c1
p2 --> c1
@enduml

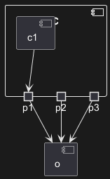
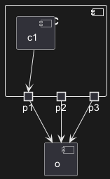
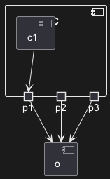
端口输出

🎉 Copied!

@startuml
component C {
  portout p1
  portout p2
  portout p3
  component c1
}
[o]
p1 --> o
p2 --> o
p3 --> o
c1 --> p1
@enduml

混合使用 PortIn 和 PortOut

🎉 Copied!

@startuml
[i]
component C {
  portin p1
  portin p2
  portin p3
  portout po1
  portout po2
  portout po3
  component c1
}
[o]

i --> p1
i --> p2
i --> p3
p1 --> c1
p2 --> c1
po1 --> o
po2 --> o
po3 --> o
c1 --> po1
@enduml


Privacy Policy      Advertise